• Register
  • Resources
    • Study Material
    • Bible Bowl Handbook
  • More Info
    • Schedule
    • T-Shirt Contest
    • Awards
    • Directions
    • History
  • Links
    • Sycamore Church of Christ
    • Bible Gateway
  • Contact Us

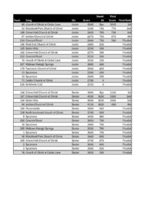
Sweet16Scores

by Administrator | Sep 28, 2025

Recent Posts

  • Material for Bible Bowl 2026
  • 2025 Scores
  • 2024 Scores
  • Registration Open for Bible Bowl 2024
  • Material for Bible Bowl 2024